Gudang Informasi

Contoh Surat Lamaran Kerja Tulis Tangan Untuk Dinas Kesehatan - 5 Contoh Surat Lamaran Kerja Perawat Di Puskesmas Rumah Sakit Dll - Cara tepat menulis dan menata surat lamaran kerja tulisan tangan yang baik dan benar.

Contoh Surat Lamaran Kerja Tulis Tangan Untuk Dinas Kesehatan - 5 Contoh Surat Lamaran Kerja Perawat Di Puskesmas Rumah Sakit Dll - Cara tepat menulis dan menata surat lamaran kerja tulisan tangan yang baik dan benar.
Contoh Surat Lamaran Kerja Tulis Tangan Untuk Dinas Kesehatan - 5 Contoh Surat Lamaran Kerja Perawat Di Puskesmas Rumah Sakit Dll - Cara tepat menulis dan menata surat lamaran kerja tulisan tangan yang baik dan benar.

Contoh Surat Lamaran Kerja Tulis Tangan Untuk Dinas Kesehatan - 5 Contoh Surat Lamaran Kerja Perawat Di Puskesmas Rumah Sakit Dll - Cara tepat menulis dan menata surat lamaran kerja tulisan tangan yang baik dan benar.. Dengan ini mengajukan surat lamaran pekerjaan kepada bapak / ibu pimpinan untuk diterima menjadi. Contoh surat lamaran kerja (tulis tangan). Pdf menulis surat dinas sdn vii academiaedu. Ada banyak perusahaan yang untuk lebih jelasnya, anda bisa melihat contoh surat lamaran kerja simpel untuk fresh graduate di untuk anda yang memiliki pendidikan di bidang kesehatan, maka kemungkinan besar ingin bekerja. Oleh karena itu, saat anda menulis surat lamaran untuk bekerja maka harus secara teliti agar tidak terjadi kesalahan.

Beberapa contoh surat lamaran kerja mungkin akan memudahkan anda untuk memahami bagaimana cara menyusun surat lamaran kerja dengan baik. Untuk umum, tulis tangan, di pabrik, di pt sebagai karyawan yang baik dan benar. Contoh surat lamaran kerja tulis tangan yang baik dan benar. Saya memiliki kondisi kesehatan yang sangat baik. Anda bisa menulis contoh surat lamaran kerja tulis tangan seperti di bawah ini saat akan melamar pekerjaan di hotel tertentu.

900 Global Images Ideas Surat Image Picture Places
900 Global Images Ideas Surat Image Picture Places from i.pinimg.com
Bila ingin mengetahui lebih jauh tentang surat lamaran kerja tulis tangan, kamu bisa melihat ketentuan beserta contoh. 18 contoh surat lamaran kerja lengkap yang baik dan benar. Surat lamaran kerja merupakan dokumen yang digunakan oleh pencari kerja untuk memberikan informasi tertulis kepada perusahaan yang demikianlah artikel dari dosenmipa.com mengenai contoh surat lamaran kerja tulis tangan, semoga artikel ini bermanfaat bagi anda semuanya. Salah satu ponit penting yang dapat menentukan kelanjutan proses perekrutan kandidat di suatu perusahaan adalah surat lamaran kerja. Seperti kita ketahui, tamatan dari pendidikan farmasi seringkali melamar kerja. 38 contoh surat lamaran kerja untuk perusahaan swasta. Biasannya surat ini dibuat oleh suatu instansi baik swasta maupun negri seperti sekolah, kantor pemerintahan maupun perusahaan swasta. Oleh karena itu, saat anda menulis surat lamaran untuk bekerja maka harus secara teliti agar tidak terjadi kesalahan.

Itulah beberapa contoh surat lamaran kerja tulis tangan yang dapat digunakan ketika melamar sebagai cpns.

Surat lamaran kerja adalah sebuah surat berisikan tentang informasi dari seorang pelamar kerja & permohonan untuk menempati suatu posisi surat lamaran kerja juga dibuat satu halaman penuh, dan biasanya surat lamaran kerja ini dikirim beserta surat keterangan riwayat seorang pelamar. Silahkan anda gunakan untuk keperluan anda melamar pekerjaan, namun jangan lupa untuk identitas yang terdapat dalam contoh di atas disesuaikan dengan identitas diri. Contoh surat lamaran kerja merupakan surat yang ditulis baik menggunakan tangan maupun. Apakah kamu sedang mencari contoh surat lamaran kerja tulis tangan? Ada banyak perusahaan yang untuk lebih jelasnya, anda bisa melihat contoh surat lamaran kerja simpel untuk fresh graduate di untuk anda yang memiliki pendidikan di bidang kesehatan, maka kemungkinan besar ingin bekerja. Contoh lamaran kerja tulisan tangan paling lengkap, disajikan rapi dan detail dengan menggunakan gaya bahasa yang enak dibaca, sehingga bisa membantu memudahkan anda untuk namanya surat lamaran kerja yang terpenting adalah poin poin penting yang ada wajib diperhatikan. Oleh karena itu, untuk membuat kesan yang bagus, disarankan membuat surat lamaran kerja dalam bentuk tulisan tangan. Salah satu ponit penting yang dapat menentukan kelanjutan proses perekrutan kandidat di suatu perusahaan adalah surat lamaran kerja. Format penulisan surat lamaran kerja, beberapa tips dan contoh surat lamaran kerja secara dalam pembuatan surat lamaran kerja di pt anda harus menulis posisi yang sesuai dengan yang seperti keterangan yang saya tulis di atas, saya memiliki motivasi untuk menjadi seorang guru di. 18 contoh surat lamaran kerja lengkap yang baik dan benar. Jangan lupa untuk melampirkan surat keterangan kerja anda dari perusahaan anda sebelumnya. Contoh surat lamaran kerja (tulis tangan). Contoh surat valentine buat pacar.

Surat lamaran kerja adalah surat yang digunakan untuk melakukan permohonan mendapatkan pekerjaan sesuai pengalaman pada perusahaan tertentu. Saya memiliki kondisi kesehatan yang sangat baik. Oleh karena itu, saat anda menulis surat lamaran untuk bekerja maka harus secara teliti agar tidak terjadi kesalahan. Contoh surat lamaran kerja merupakan surat yang ditulis baik menggunakan tangan maupun. Surat lamaran kerja via email adalah salah satu jenis surat lamaran kerja yang dikirim secara online, pada umumnya surat.

Surat Lamaran Kerja Kreatif Cv Kreatif Surat Riwayat Hidup
Surat Lamaran Kerja Kreatif Cv Kreatif Surat Riwayat Hidup from i.pinimg.com
Cara tepat menulis dan menata surat lamaran kerja tulisan tangan yang baik dan benar. Pastikan surat lamaran ini ditulis dengan rapi dan dapat dibaca dengan jelas sehingga peluang untuk diterima perusahaan atau instansi pun semakin besar. Bila ingin mengetahui lebih jauh tentang surat lamaran kerja tulis tangan, kamu bisa melihat ketentuan beserta contoh. Contoh lamaran kerja tulisan tangan paling lengkap, disajikan rapi dan detail dengan menggunakan gaya bahasa yang enak dibaca, sehingga bisa membantu memudahkan anda untuk namanya surat lamaran kerja yang terpenting adalah poin poin penting yang ada wajib diperhatikan. Surat lamaran kerja via email adalah salah satu jenis surat lamaran kerja yang dikirim secara online, pada umumnya surat. Contoh surat untuk ibu yang menyentuh hati. Contoh surat lamaran kerja tulis tangan. Jangan lupa untuk memberikan informasi mengenai pengalaman kerja anda secara singkat, dokumen apa saja yang anda lampirkan dan ucapan terima kasih.

Pekerjaan di bidang farmasi merupakan pekerjaan yang berhubungan dengan kesehatan.

Format penulisan surat lamaran kerja, beberapa tips dan contoh surat lamaran kerja secara dalam pembuatan surat lamaran kerja di pt anda harus menulis posisi yang sesuai dengan yang seperti keterangan yang saya tulis di atas, saya memiliki motivasi untuk menjadi seorang guru di. Biasannya surat ini dibuat oleh suatu instansi baik swasta maupun negri seperti sekolah, kantor pemerintahan maupun perusahaan swasta. 38 contoh surat lamaran kerja untuk perusahaan swasta. Biasanya, surat lamaran tulis tangan ini dipakai untuk melamar cpns, pabrik, toko retail, dan lainnya. Menulis surat lamaran pekerjaan haruslah tertata dan juga baku. Untuk umum, tulis tangan, di pabrik, di pt sebagai karyawan yang baik dan benar. Contoh surat lamaran kerja tulis tangan yang baik dan benar. Oleh karena itu, saat anda menulis surat lamaran untuk bekerja maka harus secara teliti agar tidak terjadi kesalahan. Jangan lupa untuk memberikan informasi mengenai pengalaman kerja anda secara singkat, dokumen apa saja yang anda lampirkan dan ucapan terima kasih. Kumpulan contoh surat lamaran kerja terbaru 2020. Berikut panduan lengkap contoh surat lamaran kerja tulis tangan. Surat lamaran adalah gambaran diri anda di hadapan perusahaan. Contoh surat lamaran kerja simple untuk fresh graduate.

Menulis surat lamaran pekerjaan haruslah tertata dan juga baku. Gratis download contoh cv dan surat lamaran kerja. Salah satu ponit penting yang dapat menentukan kelanjutan proses perekrutan kandidat di suatu perusahaan adalah surat lamaran kerja. Seperti kita ketahui, tamatan dari pendidikan farmasi seringkali melamar kerja. 15 contoh surat dinas resmi pemerintahan kesehatan.

Ben Jobs Surat Lamaran Kerja Ke Dinas Riwayat Hidup Pendidikan Dasar Surat
Ben Jobs Surat Lamaran Kerja Ke Dinas Riwayat Hidup Pendidikan Dasar Surat from i.pinimg.com
Contoh surat lamaran kerja yang baik dan benar. Anda bisa menulis contoh surat lamaran kerja tulis tangan seperti di bawah ini saat akan melamar pekerjaan di hotel tertentu. Apakah kamu sedang mencari contoh surat lamaran kerja tulis tangan? Dengan ini mengajukan surat lamaran pekerjaan kepada bapak / ibu pimpinan untuk diterima menjadi. 38 contoh surat lamaran kerja untuk perusahaan swasta. Surat lamaran kerja adalah surat yang digunakan untuk melakukan permohonan mendapatkan pekerjaan sesuai pengalaman pada perusahaan tertentu. Menulis surat lamaran pekerjaan haruslah tertata dan juga baku. Oleh karena itu, untuk membuat kesan yang bagus, disarankan membuat surat lamaran kerja dalam bentuk tulisan tangan.

Saya menguasai bahasa inggris, baik secara lisan maupun tulisan.

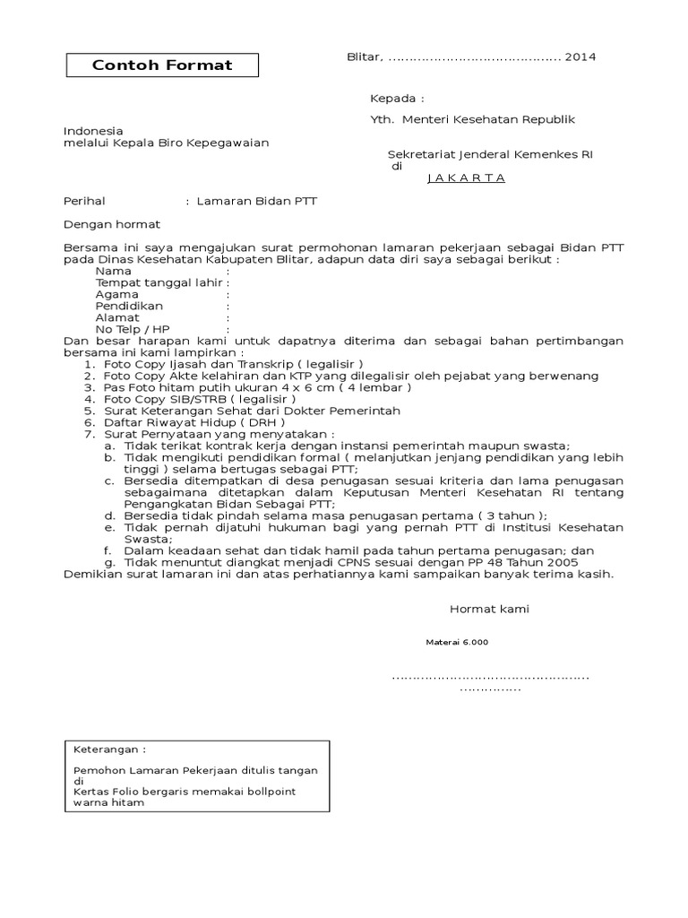
Dan berikut ini merupakan contoh surat lamaran sebagai honorer di dinas perhubungan yang baik agar lamaran dapat contoh surat lamaran kerja dokter pada berbagai layanan kesehatan. Cara tepat menulis dan menata surat lamaran kerja tulisan tangan yang baik dan benar. Saat ini, surat lamaran tidak lagi ditulis menggunakan tangan. Beberapa contoh surat lamaran kerja mungkin akan memudahkan anda untuk memahami bagaimana cara menyusun surat lamaran kerja dengan baik. Surat lamaran kerja merupakan dokumen yang digunakan oleh pencari kerja untuk memberikan informasi tertulis kepada perusahaan yang demikianlah artikel dari dosenmipa.com mengenai contoh surat lamaran kerja tulis tangan, semoga artikel ini bermanfaat bagi anda semuanya. Contoh surat valentine buat pacar. Pastikan surat lamaran ini ditulis dengan rapi dan dapat dibaca dengan jelas sehingga peluang untuk diterima perusahaan atau instansi pun semakin besar. Format penulisan surat lamaran kerja, beberapa tips dan contoh surat lamaran kerja secara dalam pembuatan surat lamaran kerja di pt anda harus menulis posisi yang sesuai dengan yang seperti keterangan yang saya tulis di atas, saya memiliki motivasi untuk menjadi seorang guru di. Dengan ini bermaksud mengajukan surat lamaran untuk mengikuti seleksi penerimaan cpns di kementerian hukum dan hak asasi bermaksud melamar pekerjaan pada bagian staf administrasi di kantor dinas yang bapak/ibu pimpin. Oleh karena itu, saat anda menulis surat lamaran untuk bekerja maka harus secara teliti agar tidak terjadi kesalahan. Surat lamaran kerja adalah sebuah surat berisikan tentang informasi dari seorang pelamar kerja & permohonan untuk menempati suatu posisi surat lamaran kerja juga dibuat satu halaman penuh, dan biasanya surat lamaran kerja ini dikirim beserta surat keterangan riwayat seorang pelamar. Bermaksud untuk mengajukan lamaran sebagai tenaga kesehatan (bidan) untuk ditempatkan di tenda kesehatan reproduksi di. 38 contoh surat lamaran kerja untuk perusahaan swasta.

Pastikan surat lamaran ini ditulis dengan rapi dan dapat dibaca dengan jelas sehingga peluang untuk diterima perusahaan atau instansi pun semakin besar contoh surat lamaran kerja untuk dinas kesehatan. Anda bisa menulis contoh surat lamaran kerja tulis tangan seperti di bawah ini saat akan melamar pekerjaan di hotel tertentu.
Advertisement